Упр.11.6 ГДЗ Мордкович Семенов 9 класс (Алгебра)
Решение #1

Рассмотрим вариант решения задания из учебника Мордкович, Семенов, Александрова 9 класс, Бином:
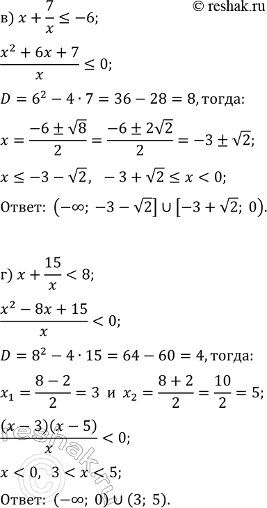
11.6. Решите неравенство:
а) x+12/x>7; г) x+15/x<8;
б) x-4/x?-3; д) x+7/x?-8;
в) x+7/x?-6; е) x+1/x?4.
*размещая тексты в комментариях ниже, вы автоматически соглашаетесь с пользовательским соглашением